333) Asabımız 3 Kat Bozuk
Yayin Tarihi 18 Ağustos, 2014
Kategori SOSYAL
Asabımız 3 kat bozuk
Sağlık Bakanlığı, Türkiye’nin “psikolojik rahatsızlık” haritasını çıkardı. Bakanlık verilerine göre, psikolojik rahatsızlık nedeniyle sağlık kuruluşlarına başvuranların sayısı son 5 yılda 3 kat arttı.
Sadece geçen yıl 9 milyon 163 bin 101 kişi bu nedenle sağlık kuruluşlarına başvurdu. Bakanlık verilerine göre hem bu başvurularda hem de antidepresan ve benzeri ilaç kullanımında ilk sırada İstanbul yer alırken, İstanbul’u İzmir, Ankara, Bursa, Adana ve Antalya izledi.
BELİRSİZLİKTEN
Türkiye Psikiyatri Derneği Ruh Sağlığı ve Medya Çalışma Birimi Koordinatörü Doç. Dr. Burhanettin Kaya bu artışın psikiyatriye olan ilginin artışıyla açıklanamayacağını, ruhsal sorun ve bozukluklardaki artışı işaret ettiğini söyledi. Doç. Dr. Kaya, özellikle son 10-12 yıldır gelecek belirsizliğinin yoğun olarak yaşandığını belirterek, “Bazı dönemlerde (örneğin ekonomik kriz yaşanırken) gelecek belirsizliği daha çok yaşandı. Ne olacak bana, çocuğuma ne olacak diye. Biliyoruz ki kriz dönemlerinde depresyon, anksiyete (iç sıkıntısı) yaygınlığı 2-3 kat artar. İntihar girişimleri de öyle” dedi.
KADINA ŞİDDET DE ETKİLİ
Ruhsal bozuklukların artışında yine son yılların gündemi olan şiddet ve çatışmaların da etkili olduğunu öne süren Doç. Dr. Kaya, “Kadına yönelik cinayet yüzde 1400 arttı. 4+4+4 eğitim modeliyle sürekliymiş gibi gözüken ama parçalı eğitim modeliyle evde kalan, evin içinde hapsolan ve o güvenli alanda şiddet görenlerin sayısı arttı. Aileler erkek çocuğa yatırım yapmaya başladı, kız çocuklar evde tutularak hem baskı hem de ihmale mahkûm edildi. Bunlar da ruhsal bozuklukları artıran faktörlerden. Erken evlilikler çok önemli. Biliyoruz ki erken yaşta evlilikler, çocuk gelinler ileri yaşta somatizasyon bozukluğu, depresyon yaygınlığını çok artırıyor” diye konuştu.
UYUŞTURUCU YÜKSELİYOR
TÜRKİYE’de madde kullanımının da çok arttığını belirten Doç. Dr. Kaya, “2004’te 12 bin 776 olan AMATEM başvurusu 2012’de 227 bine çıktı. Bu rakamlar kullanıcıların sayısının arttığını gösterir” dedi.
Turan YILMAZ/ANKARA-Mesude ERŞAN
http://www.hurriyet.com.tr/kelebek/saglik/27019021.asp
Psikolojik şikayetler nedeniyle doktora başvuran kişi sayısı patladı
Sağlık Bakanlığı psikolojik şikayetlerle doktora başvuran kişi sayılarına ilişkin istatistikleri yayımladı. 2009-2013 yılları arasını kapsayan istatistiklere göre Türkiye’de psikolojik rahatsızlıklar nedeniyle doktora başvuran kişi sayısı 3 kat artarak 3 milyondan 9 milyona çıktı.
sağlık bakanlığı CHP İstanbul Milletvekili Sezgin Tanrıkulu’nun verdiği bir soru önergesi üzerine Türkiye’de psikolojik rahatsızlık vakalarına ilişkin verileri yayımladı. 2009 ve 2013 yılları arasındaki verilerin incelendiği çalışmada 2009 yılında İstanbul’da 262 bin 364 kişinin psikolojik sıkıntılarla doktora başvurduğu görüldü. 2013 yılına gelindiğinde ise bu rakam 1 milyon 498 bin 340’a çıktı. Yani psikolojik sıkıntılarla İstanbul’da doktora başvuranların sayısı neredeyse 6 kat arttı. Ankara’da 2009 yılında psikolojik rahatsızlıkları dolayısıyla doktora başvuran kişi sayısı 73.370 iken 2013 yılında bu sayı 487 bin 29’a çıkarak rekor seviyede arttı.
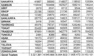
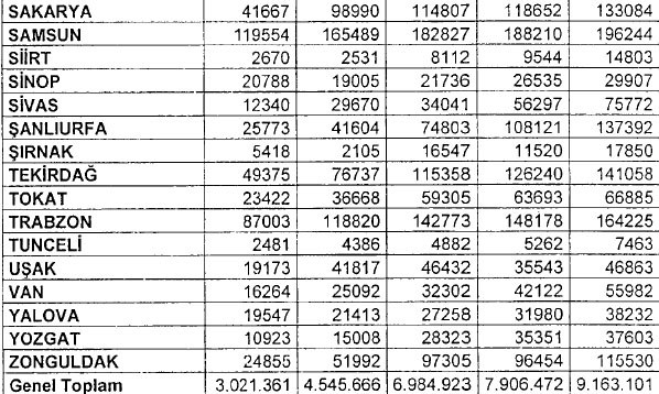
İşte 81 ilde psikolojik rahatsızlıklar nedeniyle sağlık kuruluşlarına başvuran kişi sayıları:
Öte yandan Türkiye’de psikolojik şikayetlerle doktora başvuran kişi sayısında patlama olmasına rağmen anti depresan ve benzeri nitelikteki ilaçların tüketim miktarında son 5 yılda ciddi bir artış olmadı. İstanbul’da 2009 yılında İstanbul’da 6 milyon 523 bin 5 kutu antidepresan benzeri ilaç satılırken 2013 yılında bu rakam 6 milyon 736 bin 378’e çıktı.
http://www.hurriyet.com.tr/ekonomi/27024981.asp
Yorumlar
Yorum yap




